LOGO OA教程 ERP教程 模切知识交流 PMS教程 CRM教程 开发文档 其他文档  
 
网站管理员

质量体系文件的受控管理:编号与版本的规则设置

admin
2026年1月27日 16:27 本文热度 149

质量体系文件的受控管理都已不再仅仅是一项合规任务,它已然成为决定企业生存与发展的“生命线”。据统计,超过70%的质量审核不符合项与文件管理不善直接相关。

ISO标准没有规定具体的编号方式,而是要求组织确定适合自身的文件控制方法。因此,组织可以根据业务复杂情况制定编号规则。关键是要确保文件易于识别、检索,版本控制有效,避免混淆和误用。

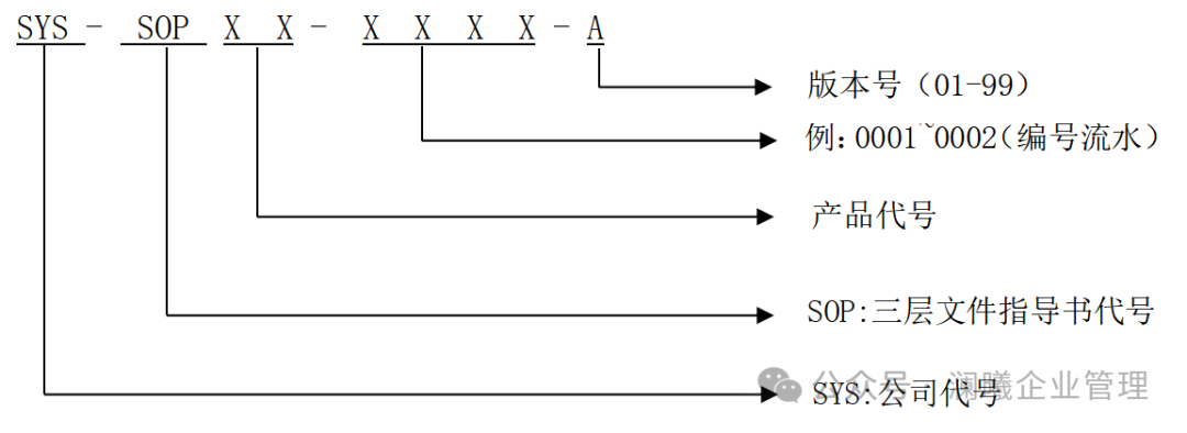
一、文件编号的设置

比较常见的体系文件形式有汇编版(多份文件共用封面)和单一版(独立封面两种形式:

1.汇编版,封面上有一个总编号,其中的每个文件在该总编号下有自己的分编号。例如,总编号为SYS-QP,内部文件编号为SYS-QP-01、SYS-QP-02等,可以通过在总编号下添加子编号或采用独立的编号来实现。这样既保持了整体的一致性,又允许每个文件有唯一的标识,便于管理和引用。

2. 单一版,采用独立封面,独立文件编号,独立版本号,但文件格式和编制要求要符合《文件控制程序》要求,这样的形式就不会存在总编号里面的单个文件变更时,总编号版本受影响的情况。

举例:

层次化管理:建议按文件类型分层(如手册、程序、规范/指导书、记录)

1)一层手册文件编码原则如下:

2)二层控制程序文件编码原则如下:

3)三层管理规范/办法文件编码原则如下:

 4) 三层文件作业指导书编号原则:

a. 操作指导书:

b. 检验指导书:

c. 外来文件的编号

  • SYS-EX-10001:合同/客户标准

  • SYS-EX-20001:证书

  • SYS-EX-30001:法律法规

5) 四层记录文件编号规则:

公司可制定书面的《文件控制程序》,规定总编号与子编号的逻辑(如部门、文件类型、序列号等等)。


二、版本编号的设置

文件版本变更时,当出现较大版本变更时,以A、B、C...等进行标识,当为小面修改时,以A/01、A/02、…等进行标识版本。

1. 汇编版的控制:

若汇编中某文件版本更新,无需更改整个汇编的版本,只需要将封面版本设置为大版本如:A、B、C,单份文件的版本更新为A/01、B/01、C/01,并增加说明页面,以防止误用。

2. 单一版的形式

单一文件(如手册、程序文件、SOP/SIP)可以独立整份文件变更的方式进行升级,同样变更履历上要增加说明变更原因。


三、文件受控管理的五大关键控制点

建立一套严谨的制度框架也是文件受控管理的基础。以下是覆盖文件全生命周期的五大关键控制点,旨在为企业提供一个可立即执行的基础操作指南,有效规避常见的人为错误和管理风险。

1. 文件编制与评审

文件的新建或修订,必须由指定部门或人员依据标准化的模板进行编制。控制要点在于明确文件的编写职责、格式规范和内容要求。评审环节至关重要,应组织相关技术、质量、生产等部门进行评审,确保文件的准确性、适用性和可操作性。此阶段的常见的错误是“闭门造车”,编制内容脱离实际,或评审流于形式。

2. 审批与发布

评审通过的文件需经过预设的审批路径,由具备相应权限的管理层签字批准。控制要点是审批流程的固化和审批权限的明确。审批完成后,由文件管理中心进行统一编号、加盖“受控”印章,并正式发布。此阶段的常见错误是越级审批或审批流程不完整。制度设计上,应在程序文件中明确不同类型、不同级别文件的审批权限和流程,确保每一步都有据可查。

3.分发与培训

已发布的受控文件需精准分发至所有相关的岗位和人员。控制要点是建立详尽的《文件分发/回收记录表》,确保每一份文件的去向都清晰可追溯。同时,对于重要文件的更新,必须组织相关人员进行培训,并考核其理解程度,留下培训记录。此环节最易被忽视的是培训环节,导致“文件发了等于没人看”。规避风险需将文件培训与岗位绩效挂钩,确保制度真正入脑入心。

4.使用与更改

使用部门应确保现场使用的文件为最新有效版本,并妥善保管,不得私自复制或涂改。当在使用过程中发现文件内容需要修订时,应通过正式的《文件更改申请单》发起变更流程,而非口头沟通或私下修改。控制要点是定期对现场文件进行检查,核对版本号。制度上应严禁使用非受控副本,并建立清晰的变更申请渠道。

5.回收与作废

当文件进行版本更新时,文控中心必须在分发新版文件的同时,将所有旧版文件从使用现场全部回收,并加盖“作废”印章或进行销毁处理。控制要点是回收的彻底性,确保作废文件不在任何渠道流通。常见的风险是回收不完全,导致新旧版本混用。规避方法是严格执行“发新收旧”的原则,并与分发记录进行核对,形成闭环管理。


阅读原文:https://mp.weixin.qq.com/s/P_0hqxB4soVXDv3MZMbR_A


该文章在 2026/1/27 16:27:42 编辑过
关键字查询
相关文章
正在查询...
点晴ERP是一款针对中小制造业的专业生产管理软件系统,系统成熟度和易用性得到了国内大量中小企业的青睐。
点晴PMS码头管理系统主要针对港口码头集装箱与散货日常运作、调度、堆场、车队、财务费用、相关报表等业务管理,结合码头的业务特点,围绕调度、堆场作业而开发的。集技术的先进性、管理的有效性于一体,是物流码头及其他港口类企业的高效ERP管理信息系统。
点晴WMS仓储管理系统提供了货物产品管理,销售管理,采购管理,仓储管理,仓库管理,保质期管理,货位管理,库位管理,生产管理,WMS管理系统,标签打印,条形码,二维码管理,批号管理软件。
点晴免费OA是一款软件和通用服务都免费,不限功能、不限时间、不限用户的免费OA协同办公管理系统。
Copyright 2010-2026 ClickSun All Rights Reserved